+7 (3852) 501-400

В продажу поступили ремкомлекты для инжекторов Common Rail

Новости

В продажу поступили ремкомлекты для инжекторов Common Rail 23.07.2018

В продажу поступили ремкомлекты для инжекторов Common Rail

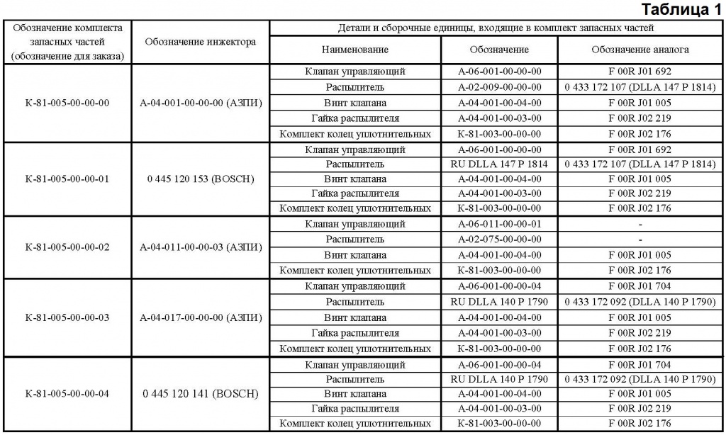
С 01 августа 2018г. в продажу поступили комплекты запасных частей для ремонта инжекторов Common Rail производства АЗПИ:

1. К-81-005-00 и К-81-005-01 для инжектора А-04-001-00 (аналог 0 445 120 153)
2. К-81-005-02 для инжектора А-04-011-00-03
3. К-81-005-03 и К-81-005-04 для инжектора А-04-017-00 (аналог 0 445 120 141)

Перечень комплектов приведен в таблице 1.
Таблица 1.jpg

Детали и сборочные единицы, входящие в состав комплекта упакованы в индивидуальную антикоррозийную упаковку. Комплект предлагаемых изделий упакован в коробку, оформленную в фирменном стиле АЗПИ. (см. рисунок 1).

Рисунок1.png




Возврат к списку


Защита от подделки